三倍频感应耐压发生器应该如何选择?
发布时间:2019-08-08
浏览数:143
前面讲述了三倍频感应耐压发生器的介绍和工作原理,想必大家对三倍频感应耐压发生器有了基本的了解。但是如何选择三倍频感应耐压发生器呢?本文中为大家总结了几点。

1、试验电源品类的选择
在电压互感器感应耐压试验时,施加在互感器绕组上的试验电压高于运行电压倍数,要满足试验要求使铁芯不过励磁,只能提高试验电源频率,工程中选择三倍频变压器一般就可以满足电压互感器感应耐压试验的要求。
2、三倍频发生器输入电压的选择
三倍频发生器输入电压高低很关键。输入电压太低,三倍频发生器输出3次谐波含量低,导致输出电压低;输入电压太高,三倍频发生器3次以上谐波高,输出波形变差,输出效率变低。当输入电压不合适时,可使用调压器调节合适的励磁电压。
3、试验电压的选择
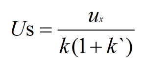
电压互感器感应耐压试验时,试验电压频率较高,被试互感器为容性负荷,为了避免“容升”的影响,一般要求试验电压在高压侧测量。若在低压侧测量,应考虑“容升”问题,此时低压侧施加的试验电压应按下式计算,
即
式中:Us——低压侧试验电压,V;
ux——高压侧试验电压,V;
k——电压互感器变比;
k,——容升修正系数。
4、试验仪器设备的选择
由于电压互感器感应耐压试验时呈容性负荷状态,为减少试验设备容量、避免倍频谐振,故应根据电压互感器不同电压等级在其二次绕组或辅助绕组接入补偿电感,被试电压互感器仍呈容性。
国电中星是电力测试设备生产厂家,不仅生产各种高压试验设备,还可提供专业的技术支持,为新老客户解疑答惑,受到一大批客户的高度信赖,欢迎选购!
027-65526006
027-65526007
在线客服